188博金宝网页官网ZEM系列台式扫描电镜在高温压电陶瓷精修与相结构解析中的应用
日期:2025-04-23
压电陶瓷作为机电耦合系统中的核心功能材料,通过其固有的正/逆压电效应实现电能与机械能的双向转换,在航空航天作动器、核反应堆辐射环境、水下换能器等极端工况中具有重要应用。随着工业系统的发展,对兼具高居里温度(Tc≥350°C)和高压电系数(d33>500 pC/N)的新一代压电陶瓷需求日益迫切。传统锆钛酸铅(PZT)陶瓷虽因简单的制备工艺和准同型相界(MPB)附近优异的压电性能被广泛应用,但其居里温度通常低于380°C,实际工作温度受热退极化效应限制仅能达到Tc的一半(约200°C),难以满足高温应用需求。基于钙钛矿结构容忍因子与居里温度的关联性,低容忍因子的BiScO₃-PbTiO₃(BS-PT)体系因其在MPB区域表现出d33=460 pC/N的高压电响应和Tc~450°C的高居里温度,成为高温压电陶瓷的理想候选材料。

尽管BS-PT体系具有优异的综合性能,但现有改性策略仍存在显著局限性。通过引入第三组元(如CaTiO₃、LiNbO₃等)虽可提升压电性能,但低居里温度的端元组分(如Pb(Ni₁/₃Nb₂/₃)O₃和Pb(Zn₁/₃Nb₂/₃)O₃的Tc分别仅为-120°C和140°C)会显著降低体系的Tc和热稳定性。此外,传统BS-PT陶瓷在高温下的应变响应和介电损耗性能仍需优化,其退极化行为和工作温度范围内的性能波动限制了其在宽温域高稳定性执行器中的应用。因此开发一种既能维持高居里温度,又能通过结构设计协同提升压电性能和温度稳定性的新型改性策略,成为当前高温压电材料研究的核心挑战。

针对上述研究背景与现存问题,武汉理工大学利用188博金宝网页官网ZEM系列台式扫描电镜进行了深入研究,该团队通过将高居里温度的弛豫铁电体Pb(In₁/₂Nb₁/₂)O₃(PIN)引入BiScO₃-PbTiO₃(BS-PT)体系,成功开发出0.05PIN-(0.95-x)BS-xPT(PIN-BS-xPT)三元压电陶瓷,解决了传统改性策略中居里温度下降和热稳定性不足的问题。相关成果以“Structure, electrical properties and temperature stability of Pb(In₁/₂Nb₁/₂)O₃-BiScO₃-PbTiO₃ high-temperaturepiezoelectric ceramics”为题发表在SSRN上。

本研究聚焦于开发兼具高压电响应和优异温度稳定性的新型高温压电陶瓷,通过将高居里温度的弛豫铁电体Pb(In₁/₂Nb₁₂)O₃(PIN)引入BiScO₃-PbTiO₃(BS-PT)体系,构建了0.05PIN-(0.95-x)BS-xPT(PIN-BS-xPT)三元固溶体。研究采用传统固相反应法制备陶瓷,系统考察了不同PbTiO₃(PT)含量(x=0.57–0.62)对材料相结构、微观形貌、介电/压电性能及温度稳定性的影响。

图 PIN-BS-xPT陶瓷的Rietveld精修结果
X射线衍射(XRD)和Rietveld精修分析表明,随着PT含量增加,陶瓷的晶体结构从菱方相(R3m)逐渐转变为四方相(P4mm),并在x=0.59附近形成准同型相界(MPB),该区域因多相共存和极化协同效应展现出优异的压电性能。扫描电镜显示所有组分均具有致密微观结构,平均晶粒尺寸约3 μm,且无明显气孔,确保了良好的机械性能。

图 PIN-BS-xPT陶瓷断口表面的SEM图像
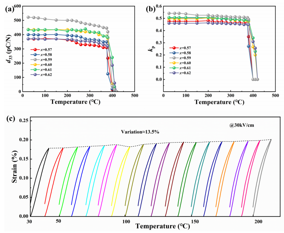
电学性能测试表明,MPB组分(x=0.59)表现出d₃₃=522 pC/N、kₚ=0.56、TC=402°C的性能,远优于传统BS-PT陶瓷。通过Rayleigh分析发现,高压电响应源于PIN引入的局域结构异质性和MPB区域增强的可逆/不可逆畴壁运动。此外,该组分在20 kV/cm电场下可产生0.12%的高应变,且应变滞后(HS)低于30%,适用于高精度执行器应用。

图 PIN-BS-xPT陶瓷的温度稳定性
温度稳定性研究表明,PIN-BS-0.59PT陶瓷在300°C退火后仍保留90%的初始d₃₃值,且在30–200°C范围内应变波动仅13.5%,展现出优异的抗热退极化能力。这种稳定性归因于PIN的高TC(320°C)和BS-PT基体的固有高温特性,使得材料在极端环境下仍能保持可靠性能。该研究通过PIN-BS-PT三元体系设计,成功实现了压电性能与温度稳定性的协同优化,为高温压电器件(如航空航天作动器、核能传感器等)提供了高性能材料解决方案。研究成果不仅拓展了BS-PT基陶瓷的应用范围,也为后续开发新型高温压电材料提供了理论指导。188博金宝网页官网ZEM系列台式扫描电镜是一款集成度高、便携性强且经济实用的科研设备。它具备快速抽真空、高成像速度、多样的信号探测器选择,适用于形貌观测和成分分析,还能适配多种原位实验需求。该设备对安装环境要求低,不挑楼层,操作简单,非专业人士也能快速上手,且购买及维护成本均低于落地式扫描电镜,现已成为许多高校、研究所和企业的选择设备之一。
作者:188博金宝网页官网
