188博金宝网页官网ZEM系列台式扫描电镜在无铅热电陶瓷研究中的关键作用
日期:2025-04-08
热电材料在红外探测、温度传感和安全监测等领域具有重要应用价值,其核心功能源于材料自发极化随温度变化的特性。传统铅基材料(如PLZT)因优异的热电性能长期占据主导地位,但其毒性引发的环境和健康问题促使全球转向无铅替代材料的研究。目前,以Na₀.₅Bi₀.₅TiO₃(NBT)、BaTiO₃(BTO)和(K,Na)NbO₃(KNN)为代表的无铅体系成为研究热点。其中,KNN基陶瓷因高居里温度(~420℃)和高自发极化展现出潜力,但其热电系数(通常低于2.21×10⁻⁴ C·m⁻²·K⁻¹)与铅基材料仍存在显著差距。为此,研究者通过相变工程策略调控正交相(O相)与四方相(T相)的相界位置,利用多相共存增强极化响应,并结合BiAlO₃等钙钛矿掺杂改善烧结性能和介电稳定性,试图突破性能瓶颈。

尽管通过锂掺杂和BiAlO₃改性可调节KNN基陶瓷的相变温度(如将O-T相界移至室温附近),但热电系数的提升仍受限于材料内部缺陷和非热电电流的干扰。KNN陶瓷制备过程中碱金属挥发易形成氧空位、阳离子空位等缺陷,这些缺陷在热电测试中会释放空间电荷,导致热激励电流(TSC)包含非本征贡献,降低测量准确性。此外,传统热激励去极化电流(TSDC)方法在高温极化时易因绝缘电阻下降而丢失低温缺陷信息,难以有效解析缺陷类型(如氧空位、缺陷偶极子)对热电性能的影响机制。如何通过工艺优化减少缺陷干扰,并建立低温缺陷分析手段,成为提升KNN基热电材料实用化水平的关键挑战。

针对上述研究背景与现存问题,武汉理工大学利用188博金宝网页官网ZEM系列台式扫描电镜进行了深入研究,该团队通过固相反应方法合成了0.995(K₀.₄₈Na₀.₅₂)₁₋ₓLiₓNbO₃-0.005BiAlO₃陶瓷,并研究了锂掺杂对相变温度及热释电性能的影响,同时探索了缺陷对于热释电电流的贡献,尤其是在低于200°C的温度范围内的情况。相关成果以“Phase engineering strategy for pyroelectric performance in lead-free 0.995(K₀.₄₈Na₀.₅₂)₁₋ₓLiₓNbO₃-0.005BiAlO₃ ceramics”为题发表在《Ceramics International》期刊上。

本研究聚焦于无铅KNN基陶瓷的热电性能优化,通过锂掺杂与BiAlO₃复合改性的相工程策略,系统探究材料结构调控、电性能响应及缺陷机制对热电特性的影响。研究团队采用固相反应法合成0.995(K₀.₄₈Na₀.₅₂)₁₋ₓLiₓNbO₃-0.005BiAlO₃(KNLN-BAO)陶瓷,通过精确控制锂掺杂量(x=0–0.06),结合XRD精修、Raman光谱和SEM等手段,揭示了锂离子对正交相(O相)与四方相(T相)相界(O-T相变温度To-T)的调控规律。结果表明,锂掺杂显著降低To-T温度(如x=0.05时To-T接近室温),促进O相与T相共存,并通过BiAlO₃的钙钛矿结构固溶效应提升材料烧结密度与介电稳定性。

图 不同Li掺杂含量(x =/case/saomiaodianzixianweijing/2025/0408/ /0、0.03、0.04、0.05、0.06)的KNLN-BAO陶瓷截面SEM图像(a–e),以及(f)陶瓷的平均晶粒尺寸随Li掺杂量的变化
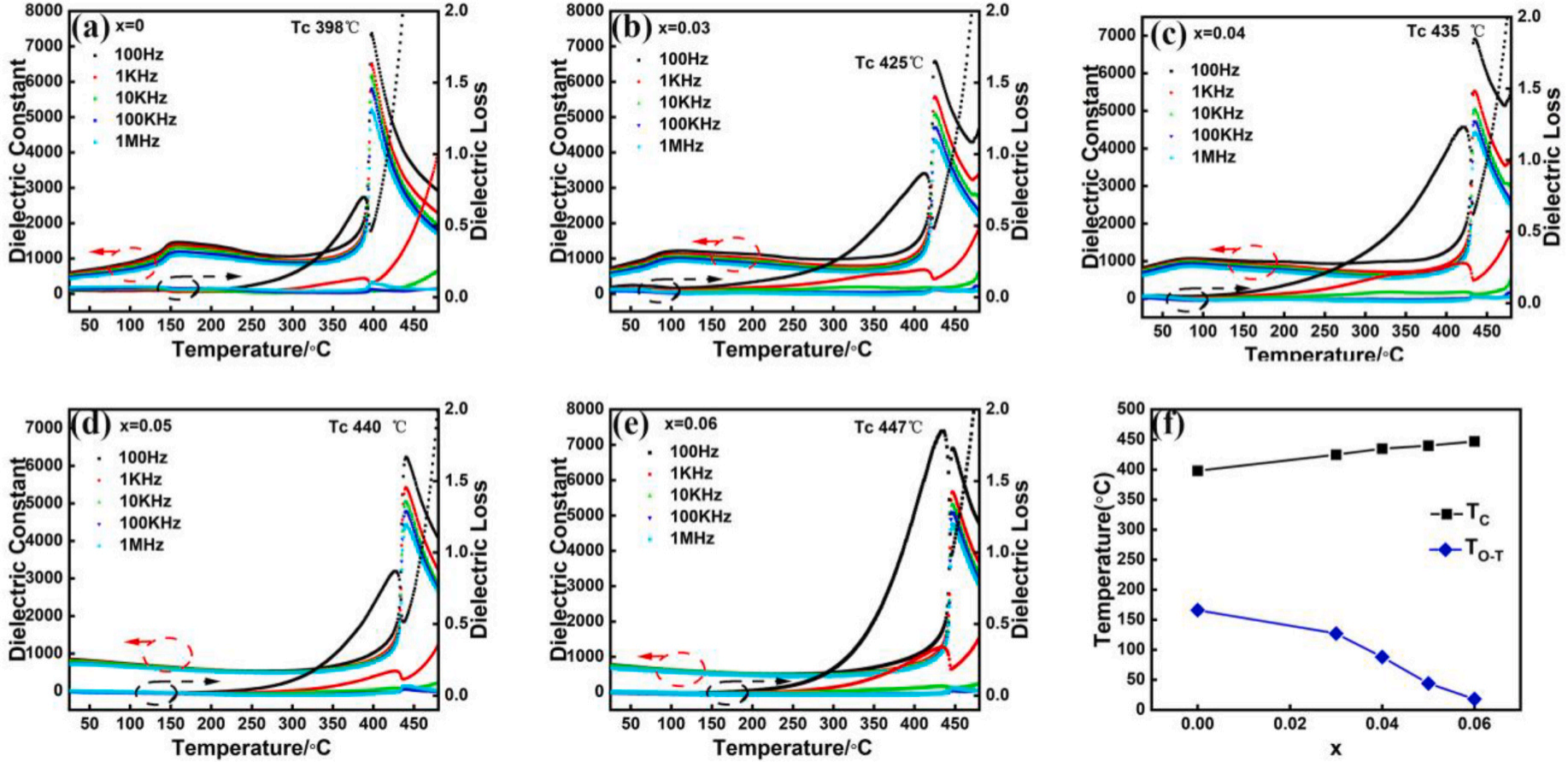
通过介电温谱与铁电回线分析,发现锂掺杂不仅将居里温度(Tc)提升至440°C以上,还优化了介电常数(εᵣ=937@1 kHz)与损耗(tanδ=0.026)。压电系数d33在x=0.05时达到峰值,证实相界附近极化矢量自由度增加有利于机电响应。基于Byer-Roundy方法的热电测试表明,x=0.05样品在室温下热电系数达3.11×10⁻⁴ C·m⁻²·K⁻¹,其电压探测优值(Fv=0.0169 m²·C⁻¹)与探测率(Fd≈0.93×10⁻⁵ Pa⁻¹/²)显著优于多数同类无铅体系,归因于O-T相界附近自发极化的剧烈温度敏感性及低介电损耗特性。

图 (a) x=0.05的KNLN-BAO陶瓷元素分布分析选区;(b–f) 分别为K、Na、Bi、Al和Nb元素的分布图
针对KNN基陶瓷中碱金属挥发导致的氧空位与空间电荷问题,研究通过低温热激励去极化电流(TSDC)技术解析了缺陷类型及其对热电电流的贡献。实验发现,陶瓷在-20°C至200°C范围内存在两类电流峰:低温区(Peak 1)为可移动空间电荷释放,高温区(Peak 2)与缺陷偶极子(如Bi³⁺-空位对或Al³⁺掺杂诱导的局域畸变)相关。通过温度循环与短路处理,证实空间电荷的非可逆性释放可部分消除其对热电测量的干扰,为缺陷工程优化提供了实验依据。

图 KNLN-BAO陶瓷的介电性能:(a-e) x=0、0.03、0.04、0.05、0.06样品在25°C至480°C温度范围内的变化;(f) Li掺杂对居里温度(TC)和正交-四方相变温度(TO-T)的影响
本研究通过锂掺杂与相界工程策略,成功将KNN基陶瓷的热电性能提升至接近传统铅基材料的水平,同时阐明了缺陷对热电响应的作用机制。提出的低温TSDC分析方法为无铅热电材料的缺陷表征提供了新思路,而多相共存设计与BiAlO₃复合改性策略为高性能红外探测器件的开发奠定了材料基础。未来研究可进一步结合缺陷钝化工艺与界面优化,推动KNN基陶瓷在宽温区、高稳定性热电传感领域的实用化进程。
188博金宝网页官网ZEM系列台式扫描电镜是一款集成度高、便携性强且经济实用的科研设备。它具备快速抽真空、高成像速度、多样的信号探测器选择,适用于形貌观测和成分分析,还能适配多种原位实验需求。该设备对安装环境要求低,不挑楼层,操作简单,非专业人士也能快速上手,且购买及维护成本均低于落地式扫描电镜,现已成为许多高校、研究所和企业的选择的设备之一。
作者:188博金宝网页官网
